라떼는말이야
[solved.ac 실버2] 18352_특정 거리의 도시 찾기 (다익스트라, 코틀린) 본문
https://github.com/mangbaam/CodingTest
GitHub - mangbaam/CodingTest: 프로그래머스, 백준 등 코딩테스트 풀이를 기록하는 저장소입니다.
프로그래머스, 백준 등 코딩테스트 풀이를 기록하는 저장소입니다. Contribute to mangbaam/CodingTest development by creating an account on GitHub.
github.com
밑의 사진을 클릭하면 문제 링크로 이동합니다
문제
어떤 나라에는 1번부터 N번까지의 도시와 M개의 단방향 도로가 존재한다. 모든 도로의 거리는 1이다.
이 때 특정한 도시 X로부터 출발하여 도달할 수 있는 모든 도시 중에서, 최단 거리가 정확히 K인 모든 도시들의 번호를 출력하는 프로그램을 작성하시오. 또한 출발 도시 X에서 출발 도시 X로 가는 최단 거리는 항상 0이라고 가정한다.
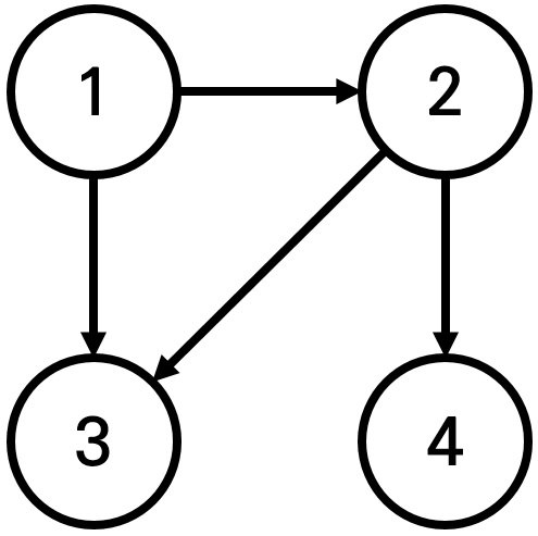
예를 들어 N=4, K=2, X=1일 때 다음과 같이 그래프가 구성되어 있다고 가정하자.

이 때 1번 도시에서 출발하여 도달할 수 있는 도시 중에서, 최단 거리가 2인 도시는 4번 도시 뿐이다. 2번과 3번 도시의 경우, 최단 거리가 1이기 때문에 출력하지 않는다.
입력
첫째 줄에 도시의 개수 N, 도로의 개수 M, 거리 정보 K, 출발 도시의 번호 X가 주어진다. (2 ≤ N ≤ 300,000, 1 ≤ M ≤ 1,000,000, 1 ≤ K ≤ 300,000, 1 ≤ X ≤ N) 둘째 줄부터 M개의 줄에 걸쳐서 두 개의 자연수 A, B가 공백을 기준으로 구분되어 주어진다. 이는 A번 도시에서 B번 도시로 이동하는 단방향 도로가 존재한다는 의미다. (1 ≤ A, B ≤ N) 단, A와 B는 서로 다른 자연수이다.
출력
X로부터 출발하여 도달할 수 있는 도시 중에서, 최단 거리가 K인 모든 도시의 번호를 한 줄에 하나씩 오름차순으로 출력한다.
이 때 도달할 수 있는 도시 중에서, 최단 거리가 K인 도시가 하나도 존재하지 않으면 -1을 출력한다.
예제



나의 풀이
DFS 나 BFS 로 풀 수도 있으나 다익스트라 알고리즘을 연습하기 위해 다익스트라로 풀어봤다.
코틀린을 사용한 다익스트라 알고리즘은 이 글을 보면 좋을 것 같다
시간 복잡도는 링크된 글에서 설명한 것과 같이 O(ElogV) 이다. (E: 간선의 개수, V: 노드의 개수)
import java.util.PriorityQueue
fun solution_18352() {
val (n, m, k, x) = readln().split(" ").map { it.toInt() }
val graph = Array(n + 1) { mutableListOf<Pair<Int, Int>>() }
val distance = IntArray(n + 1) { Int.MAX_VALUE }
val q = PriorityQueue<Pair<Int, Int>> { p1, p2 ->
when {
p1.second > p2.second -> 1
p1.second < p2.second -> -1
else -> 0
}
}
repeat(m) {
val (a, b) = readln().split(" ").map { it.toInt() }
graph[a].add(Pair(b, 1))
}
q.add(Pair(x, 0))
distance[x] = 0
while (q.isNotEmpty()) {
val (now, dist) = q.poll()
if (distance[now] < dist) continue
for (i in graph[now]) {
val cost = dist + i.second
if (cost < distance[i.first]) {
q.add(Pair(i.first, cost))
distance[i.first] = cost
}
}
}
distance.mapIndexed { i, d -> Pair(i, d) }.filter { it.second == k }.sortedBy { it.first }.apply {
if (this.isNotEmpty()) forEach { println(it.first) }
else println(-1)
}
}
fun main() {
solution_18352()
}
전체적인 구조는 이 글과 크게 다르지 않고, 다른 부분을 설명하자면 노드 간 거리가 1로 고정이라는 점과 출력 시 거리가 k 인 것만 오름차순으로 출력한다는 점이다.
출력 부분은 각 거리에 인덱스 정보를 붙이고, 거리가 k 인 것만 걸러낸다. 그리고 인덱스 순으로 정렬 후 비어있다면 -1 을, 그렇지 않다면 거리를 출력한다.

'알고리즘 > 코딩 테스트' 카테고리의 다른 글
| [solved.ac 골드3] 10986_나머지 합 (파이썬) (0) | 2022.08.19 |
|---|---|
| [프로그래머스 lv3] 순위 (코틀린, 플로이드-워셜) (0) | 2022.08.19 |
| [프로그래머스 lv3] 가장 먼 노드 (다익스트라, 코틀린) (0) | 2022.08.18 |
| [solved.ac 골드5] 17396_백도어 (다익스트라, 코틀린) (0) | 2022.08.16 |
| 코틀린 다익스트라 알고리즘 Kotlin dijkstra algorithm (0) | 2022.08.16 |
| [solved.ac 골드3] 2437_저울 (그리디, 파이썬, 코틀린) (0) | 2022.08.14 |
| [solved.ac 실버3] 2992_크면서 작은 수 (파이썬, 순열) (0) | 2022.07.17 |
| [solved.ac 실버1] 1189_컴백홈 (파이썬, 브루트포스, 백트래킹) (0) | 2022.07.15 |

